Официальное опубликование правовых актов
ОФИЦИАЛЬНОЕ ОПУБЛИКОВАНИЕ
Приказ Министерства архитектуры и пространственно-градостроительного развития Оренбургской области от 07.05.2025 № 36/56-од
"О внесении изменения в приказ министерства архитектуры и пространственно-градостроительного развития Оренбургской области от 25.12.2023 № 36/167-од"
(Зарегистрирован 07.05.2025 № 0037/2025/02)
Номер опубликования: 5601202505140005
Дата опубликования: 14.05.2025
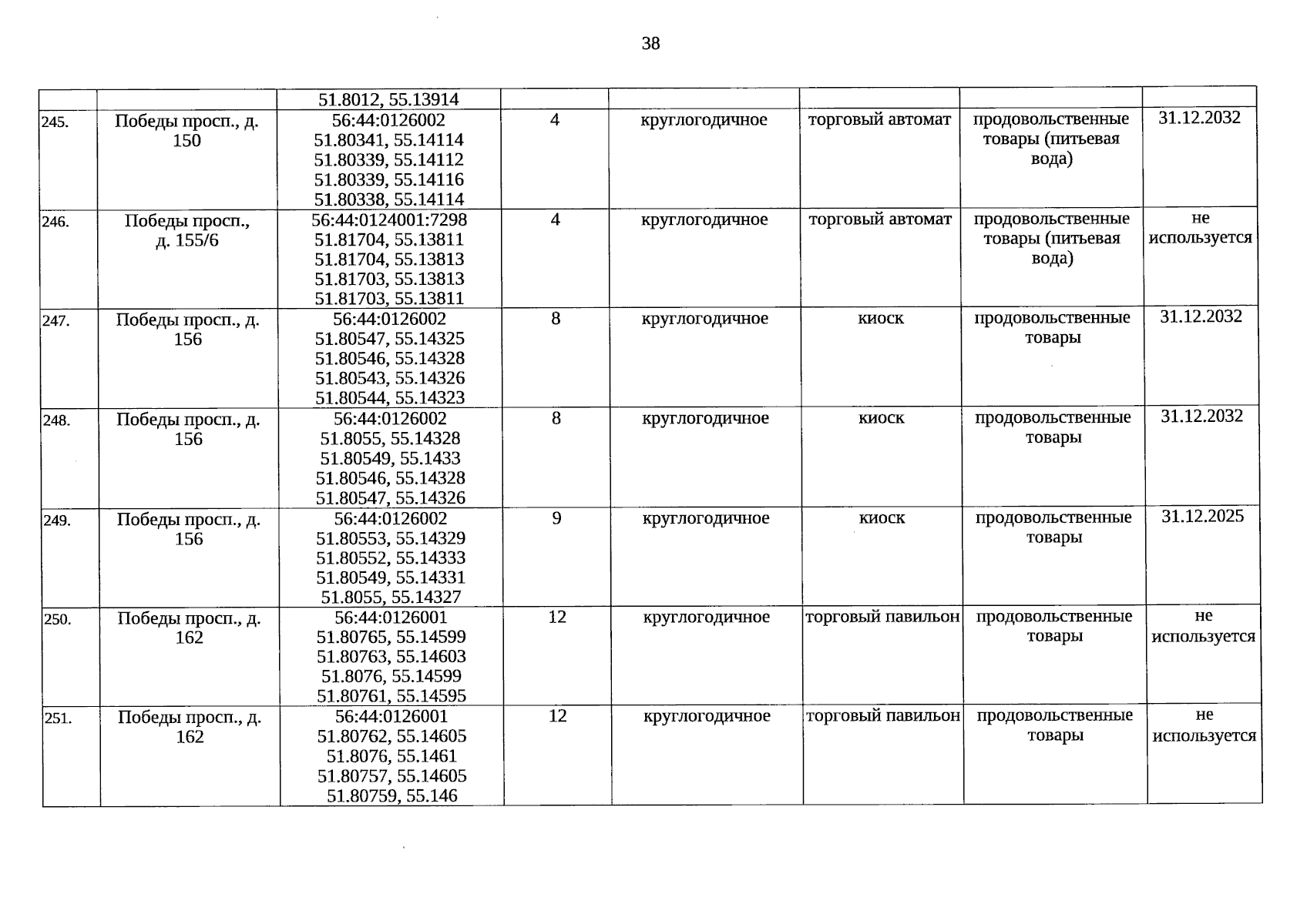
Страница №38 из 71:
Увеличить