Официальное опубликование правовых актов
ОФИЦИАЛЬНОЕ ОПУБЛИКОВАНИЕ
Распоряжение Министерства архитектуры и пространственно-градостроительного развития Оренбургской области от 28.04.2025 № 8-р
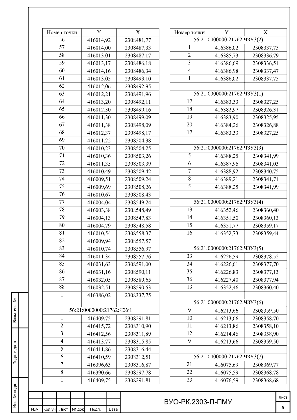
"Об утверждении проекта планировки территории и проекта межевания территории для размещения линейного объекта: "ВУ ОНГКМ. Газопровод внешнего транспорта газа УПНГ-УКПГ-10 и нефтепровод внешнего транспорта нефти УПНГ-УКПГ-10. Реконструкция"
(Зарегистрирован 28.04.2025 № 0034/2025/02)
Номер опубликования: 5601202504300001
Дата опубликования: 30.04.2025
Страница №59 из 63:
Увеличить