Официальное опубликование правовых актов
ОФИЦИАЛЬНОЕ ОПУБЛИКОВАНИЕ
Приказ Министерства социального развития Оренбургской области от 31.03.2025 № 189
"О внесении изменений в приказ министерства социального развития Оренбургской области от 27.12.2024 № 869"
(Зарегистрирован 31.03.2025 № 0041/2025/10 )
Номер опубликования: 5601202504020005
Дата опубликования: 02.04.2025
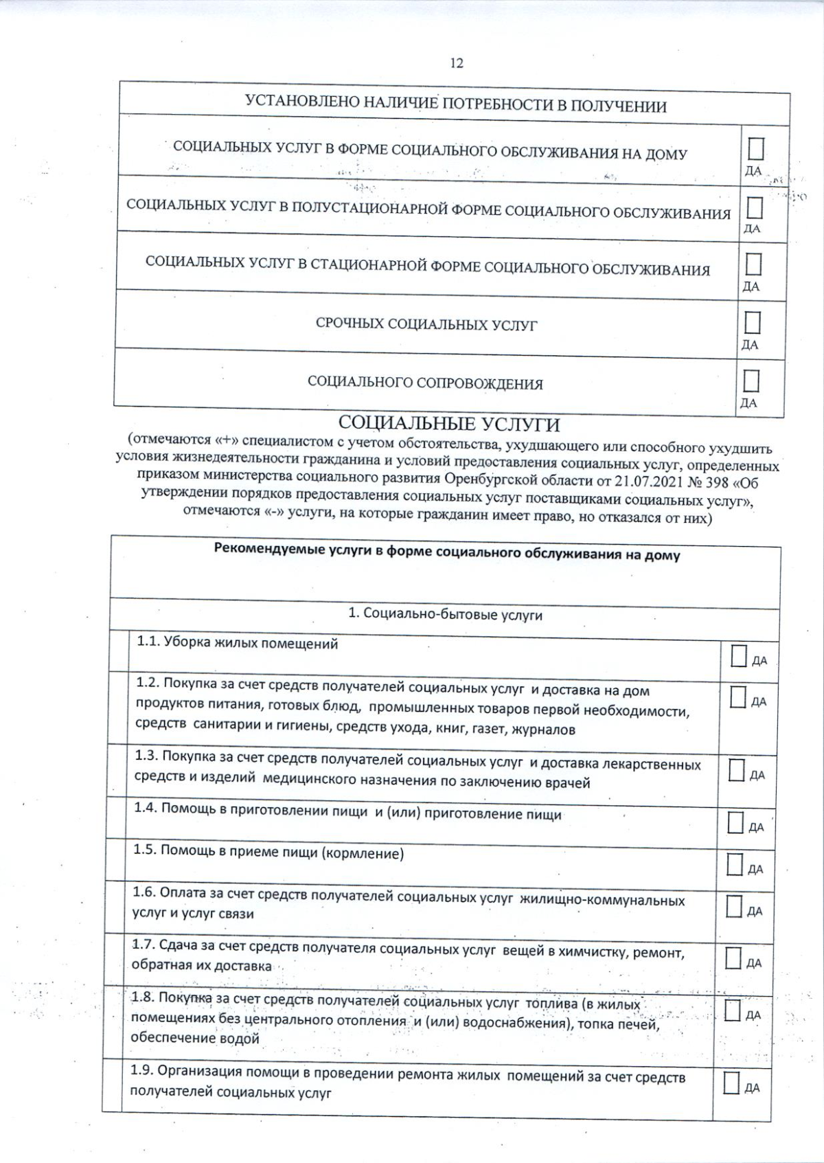
Страница №12 из 19:
Увеличить