Официальное опубликование правовых актов
ОФИЦИАЛЬНОЕ ОПУБЛИКОВАНИЕ
Распоряжение Министерства архитектуры и пространственно-градостроительного развития Оренбургской области от 23.05.2024 № 7-р
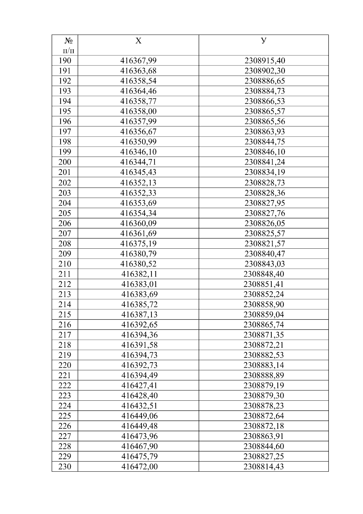
"Об утверждении проекта планировки и проекта межевания территории для размещения линейного объекта: "Обустройство поглощающей скважины УКПГ-10 Оренбургского НГКМ"
(Зарегистрирован 23.05.2024 № 0038/2024/02)
Номер опубликования: 5601202405280004
Дата опубликования: 28.05.2024
Страница №14 из 79:
Увеличить