Официальное опубликование правовых актов
ОФИЦИАЛЬНОЕ ОПУБЛИКОВАНИЕ
Приказ Инспекции государственной охраны объектов культурного наследия Оренбургской области от 08.02.2024 № 01-08-70
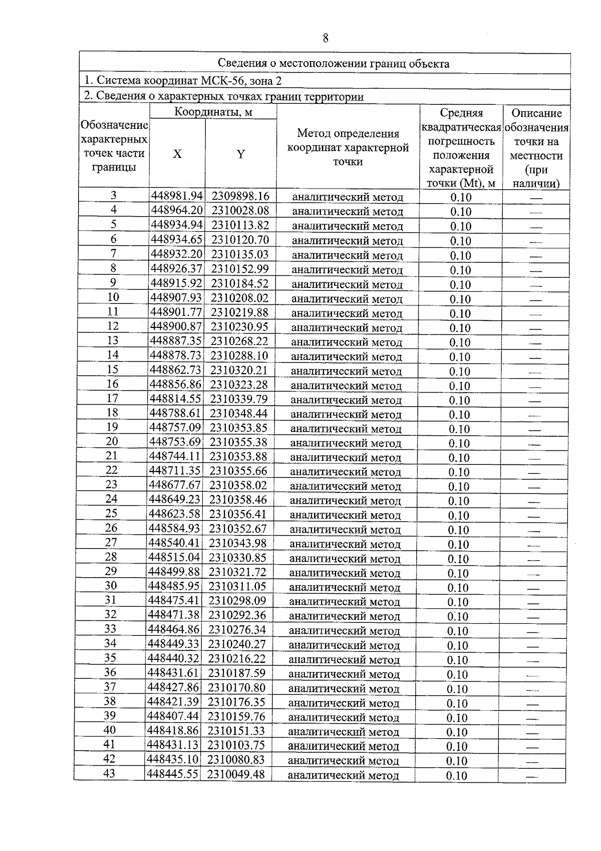
"О включении выявленного объекта культурного наследия в единый государственный реестр объектов культурного наследия (памятников истории и культуры) народов Российской Федерации в качестве объекта культурного наследия регионального значения (вид – достопримечательное место) "Старое мусульманское кладбище Сеитовской слободы (Сеитова Посада) с эпиграфическими (надмогильными) памятниками XVIII – начала XX вв.", XVIII – начало XX вв., (Оренбургская область, Сакмарский район, с. Татарская Каргала (старое мусульманское кладбище), об утверждении предмета охраны, границ и режима использования территории объекта культурного наследия"
(Зарегистрирован 08.02.2024 № 0040/2024/22)
Номер опубликования: 5601202402090005
Дата опубликования: 09.02.2024
Страница №8 из 12:
Увеличить