Официальное опубликование правовых актов
ОФИЦИАЛЬНОЕ ОПУБЛИКОВАНИЕ
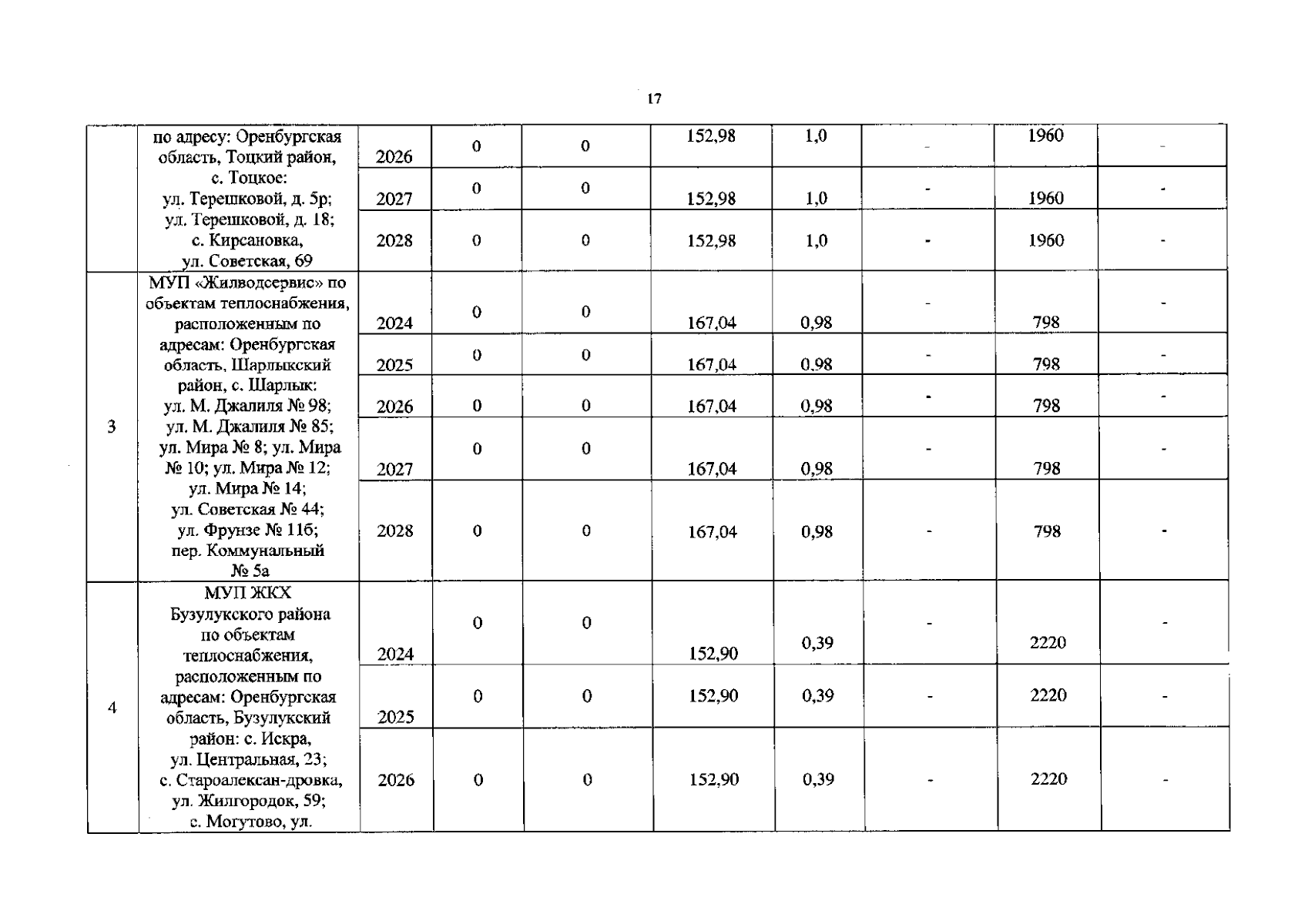
Приказ Департамента Оренбургской области по ценам и регулированию тарифов от 05.12.2023 № 148-т/э
"Об установлении тарифов на тепловую энергию (мощность), поставляемую теплоснабжающими организациями потребителям Оренбургской области на 2024-2028 годы"
(Зарегистрирован 06.12.2023 № 0100/2023/18)
Номер опубликования: 5601202312070028
Дата опубликования: 07.12.2023
Страница №17 из 19:
Увеличить