Официальное опубликование правовых актов
ОФИЦИАЛЬНОЕ ОПУБЛИКОВАНИЕ
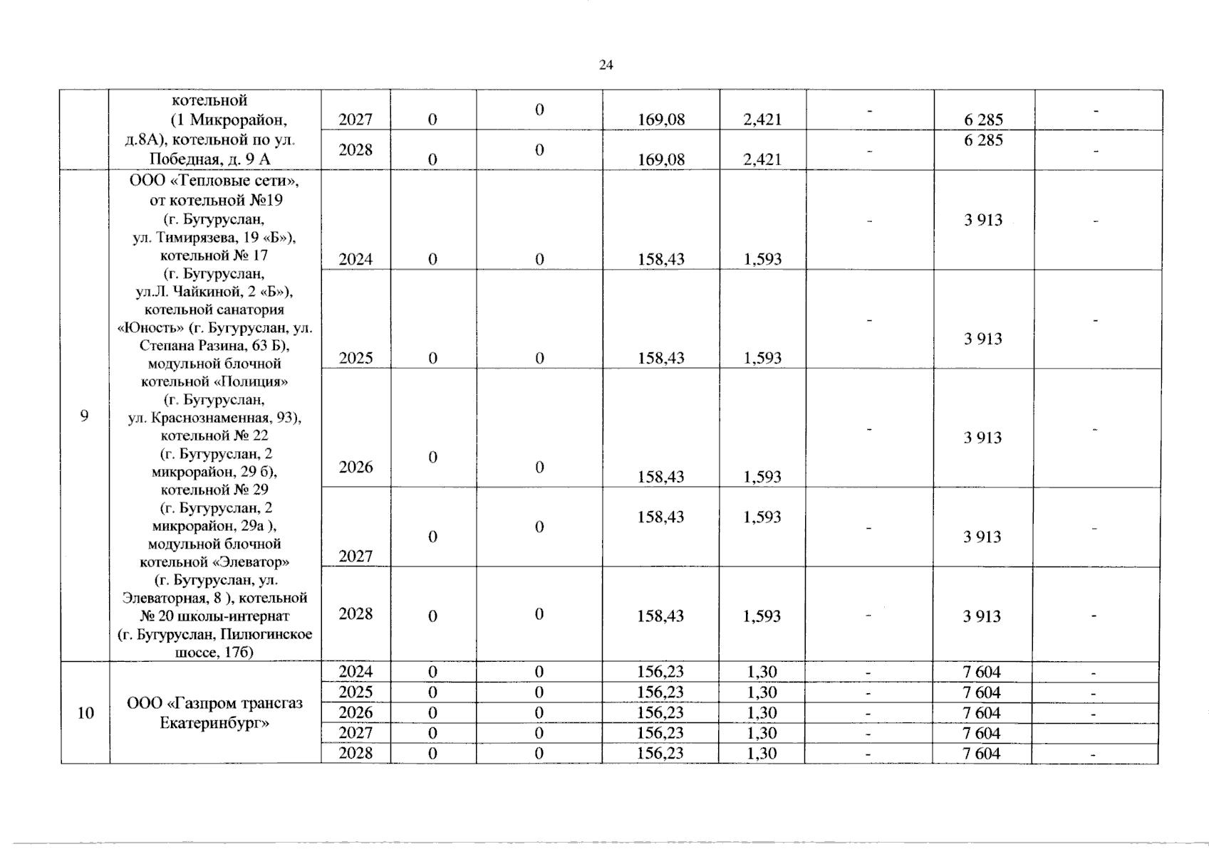
Приказ Департамента Оренбургской области по ценам и регулированию тарифов от 28.11.2023 № 92-т/э
"Об установлении тарифов на тепловую энергию (мощность), поставляемую теплоснабжающими организациями потребителям Оренбургской области на 2024-2028 годы"
(Зарегистрирован 30.11.2023 № 0046/2023/18)
Номер опубликования: 5601202312040036
Дата опубликования: 04.12.2023
Страница №24 из 26:
Увеличить