Официальное опубликование правовых актов
ОФИЦИАЛЬНОЕ ОПУБЛИКОВАНИЕ
Распоряжение Министерства архитектуры и пространственно-градостроительного развития Оренбургской области от 20.09.2023 № 13-р
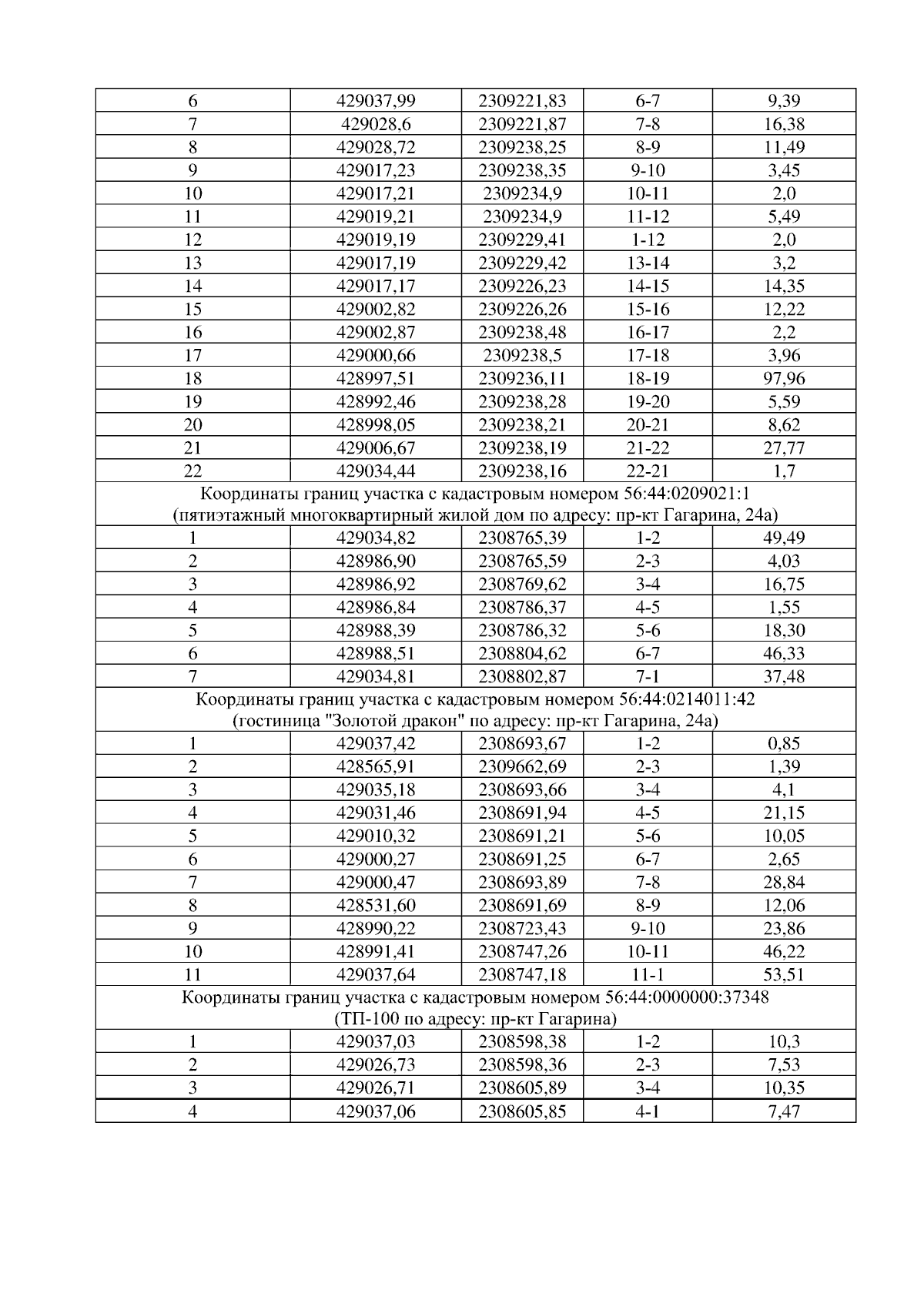
"Об утверждении проекта планировки и проекта межевания территории, ограниченной проспектом Гагарина, улицей Восточной, улицей 5 Проезд, улицей Алтайской, площадь 6,78 га"
(Зарегистрирован 21.09.2023 № 0033/2023/02)
Номер опубликования: 5601202309210016
Дата опубликования: 21.09.2023
Страница №34 из 39:
Увеличить