Официальное опубликование правовых актов
ОФИЦИАЛЬНОЕ ОПУБЛИКОВАНИЕ
Приказ Министерства природных ресурсов, экологии и имущественных отношений Оренбургской области от 16.08.2023 № 346
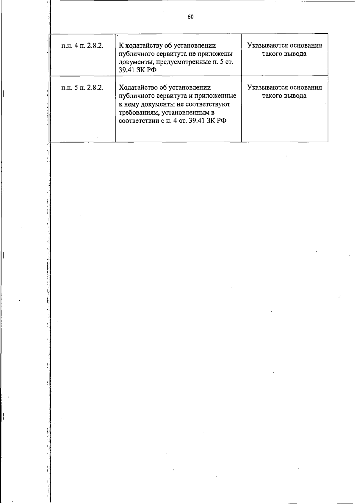
"Об утверждении Административного регламента предоставления государственной услуги "Установление сервитута (публичного сервитута) в отношении земельных участков, находящихся в государственной или муниципальной собственности"
Номер опубликования: 5601202308160018
Дата опубликования: 16.08.2023
Страница №60 из 68:
Увеличить