Официальное опубликование правовых актов
ОФИЦИАЛЬНОЕ ОПУБЛИКОВАНИЕ
Распоряжение Министерства архитектуры и пространственно-градостроительного развития Оренбургской области от 21.03.2023 № 5-р
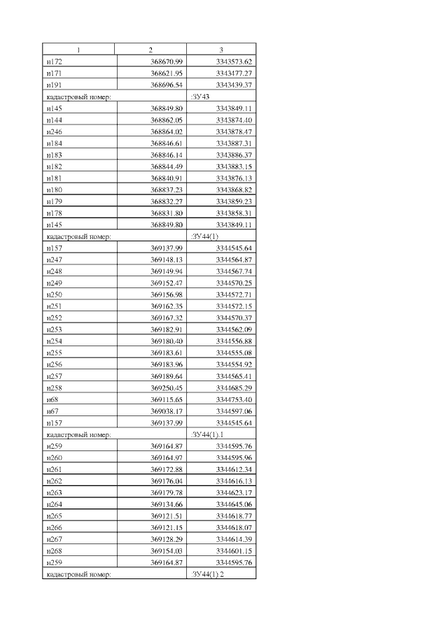
"Об утверждении проекта планировки территории, проекта межевания территории для размещения объектов инфраструктуры и иных объектов, предназначенных для обеспечения функционирования особой экономической зоны промышленно-производственного типа, расположенной на территории Оренбургской области (площадка в г. Орске)"
Номер опубликования: 5601202303220002
Дата опубликования: 22.03.2023
Страница №45 из 50:
Увеличить