Официальное опубликование правовых актов
ОФИЦИАЛЬНОЕ ОПУБЛИКОВАНИЕ
Распоряжение Министерства архитектуры и пространственно-градостроительного развития Оренбургской области от 20.02.2023 № 2-р
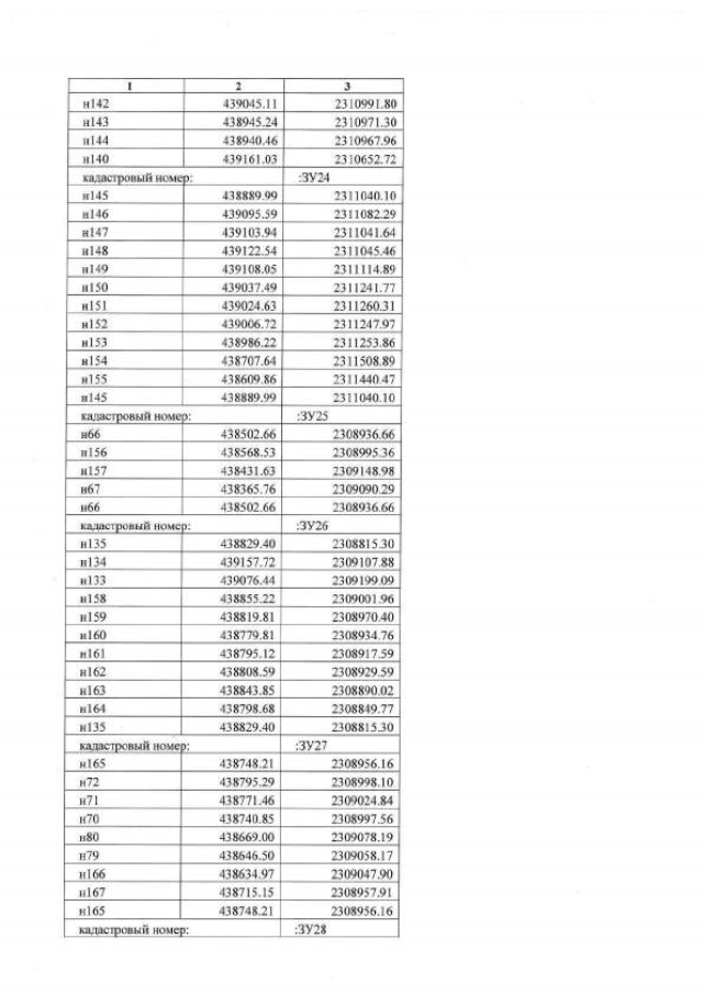
"Об утверждении проекта планировки территории, проекта межевания территории для размещения объектов инфраструктуры и иных объектов, предназначенных для обеспечения функционирования особой экономической зоны промышленно-производственного типа, расположенной на территории Оренбургской области (площадка в г. Оренбурге)"
Номер опубликования: 5601202302210003
Дата опубликования: 21.02.2023
Страница №43 из 56:
Увеличить