Официальное опубликование правовых актов
ОФИЦИАЛЬНОЕ ОПУБЛИКОВАНИЕ
Приказ Министерства природных ресурсов, экологии и имущественных отношений Оренбургской области от 02.02.2023 № 40
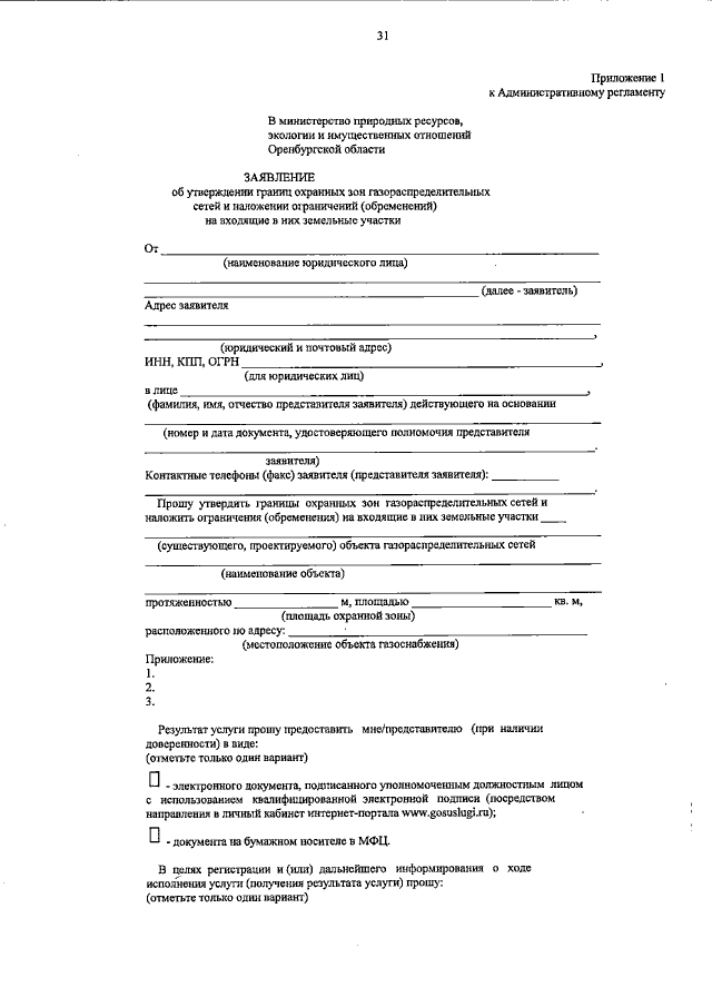
"О внесении изменений в приказ министерства природных ресурсов, экологии и имущественных отношений Оренбургской области от 30 июля 2015 года № 40 "Об утверждении Административного регламента предоставления министерством природных ресурсов, экологии и имущественных отношений Оренбургской области государственной услуги "Прием и рассмотрение документов об утверждении границ охранных зон газораспределительных сетей и наложении ограничений (обременений) на входящие в них земельные участки"
Номер опубликования: 5601202302060003
Дата опубликования: 06.02.2023
Страница №31 из 32:
Увеличить