Официальное опубликование правовых актов
ОФИЦИАЛЬНОЕ ОПУБЛИКОВАНИЕ
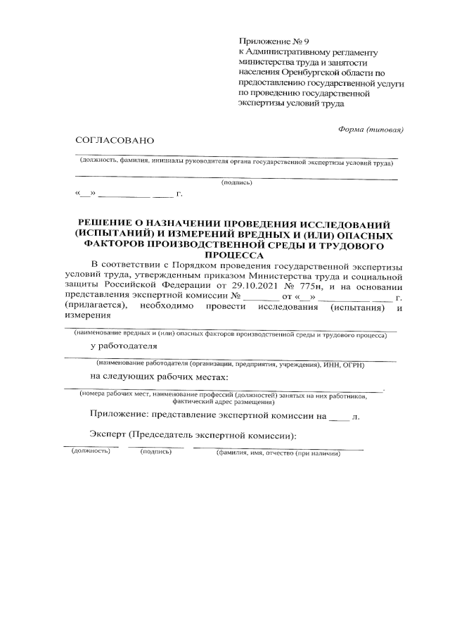
Приказ Министерства труда и занятости населения Оренбургской области от 03.10.2022 № 334
"Об утверждении административного регламента предоставления государственной услуги "Проведение государственной экспертизы условий труда"
Номер опубликования: 5601202210050011
Дата опубликования: 05.10.2022
Страница №48 из 83:
Увеличить