Официальное опубликование правовых актов
ОФИЦИАЛЬНОЕ ОПУБЛИКОВАНИЕ
Постановление Правительства Оренбургской области от 27.01.2026 № 5-пп
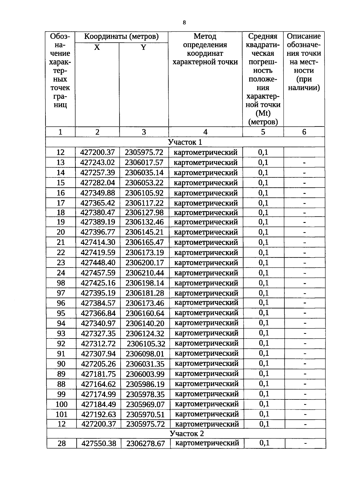
"Об установлении зон охраны, утверждении требований к градостроительным регламентам в границах территорий зон охраны объекта культурного наследия (памятника истории и культуры) народов Российской Федерации регионального значения (вид – ансамбль) "Застройка Уфимской улицы казачьего Форштадта (станицы Оренбургской)", конец XIX – начало XX вв."
Номер опубликования: 5600202601300007
Дата опубликования: 30.01.2026
Страница №8 из 32:
Увеличить