Официальное опубликование правовых актов
ОФИЦИАЛЬНОЕ ОПУБЛИКОВАНИЕ
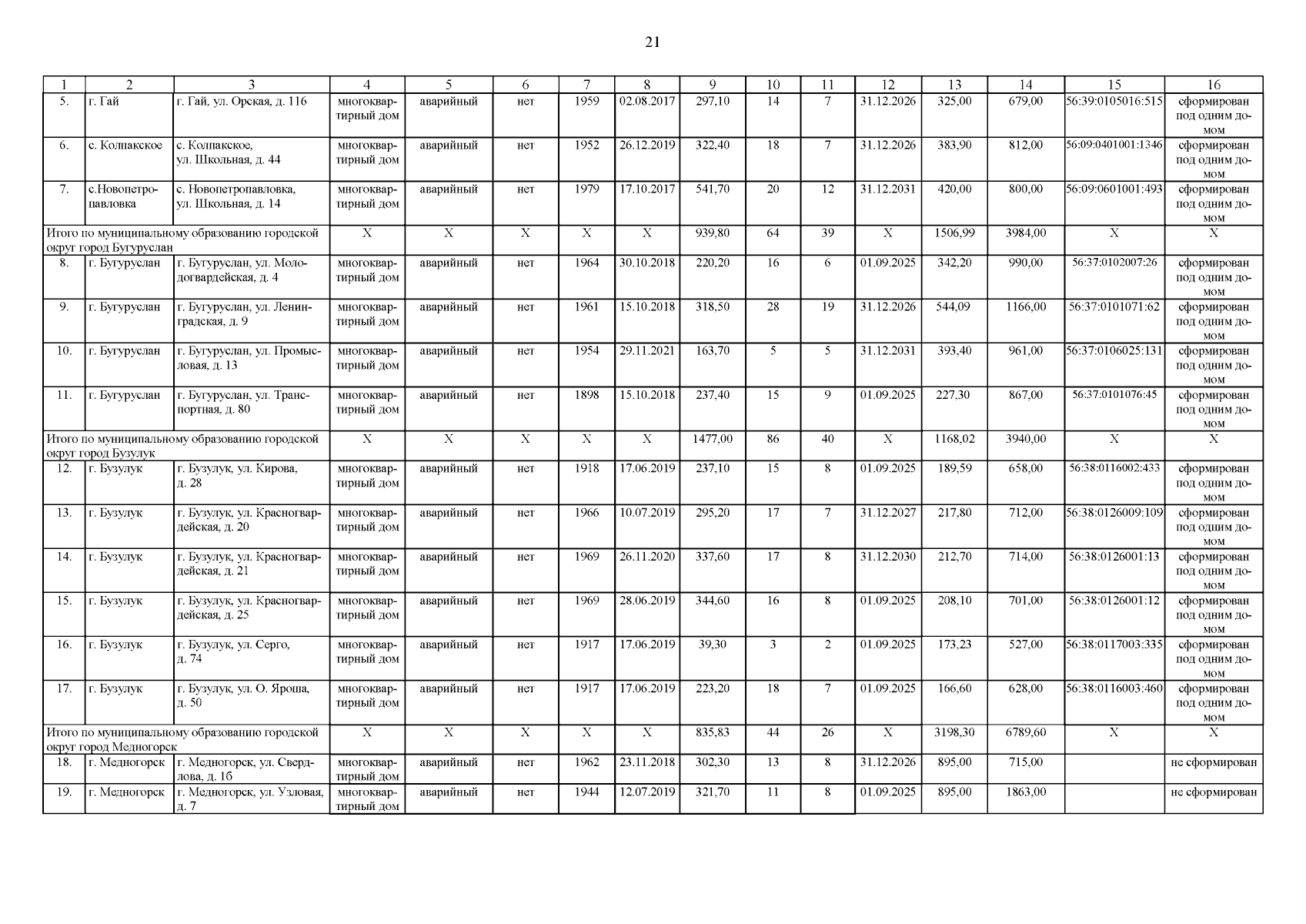
Постановление Правительства Оренбургской области от 27.01.2026 № 8-пп
"О внесении изменений в постановление Правительства Оренбургской области от 06.03.2024 № 174-пп"
Номер опубликования: 5600202601300006
Дата опубликования: 30.01.2026
Страница №21 из 82:
Увеличить