Официальное опубликование правовых актов
ОФИЦИАЛЬНОЕ ОПУБЛИКОВАНИЕ
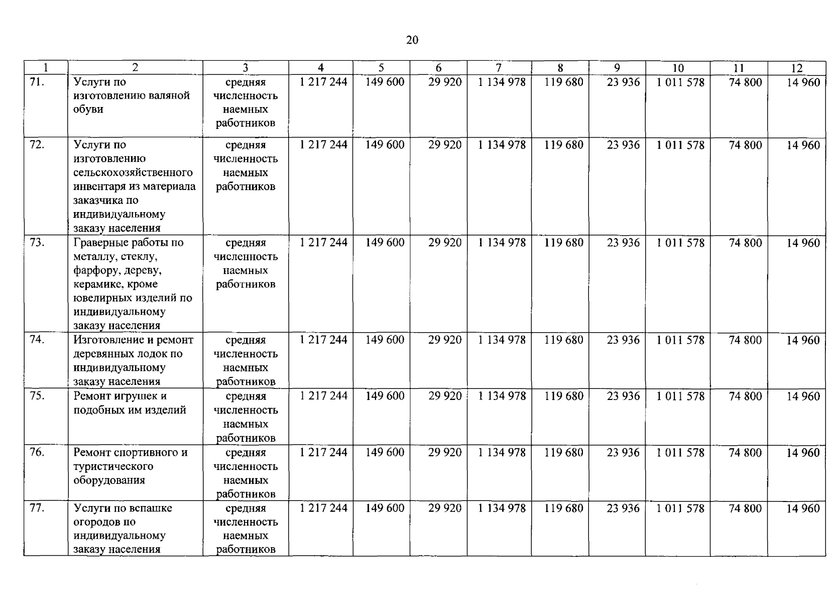
Закон Оренбургской области от 25.11.2025 № 1732/724-VII-ОЗ
"О внесении изменений в Закон Оренбургской области "О патентной системе налогообложения"
Номер опубликования: 5600202511280021
Дата опубликования: 28.11.2025
Страница №23 из 24:
Увеличить