Официальное опубликование правовых актов
ОФИЦИАЛЬНОЕ ОПУБЛИКОВАНИЕ
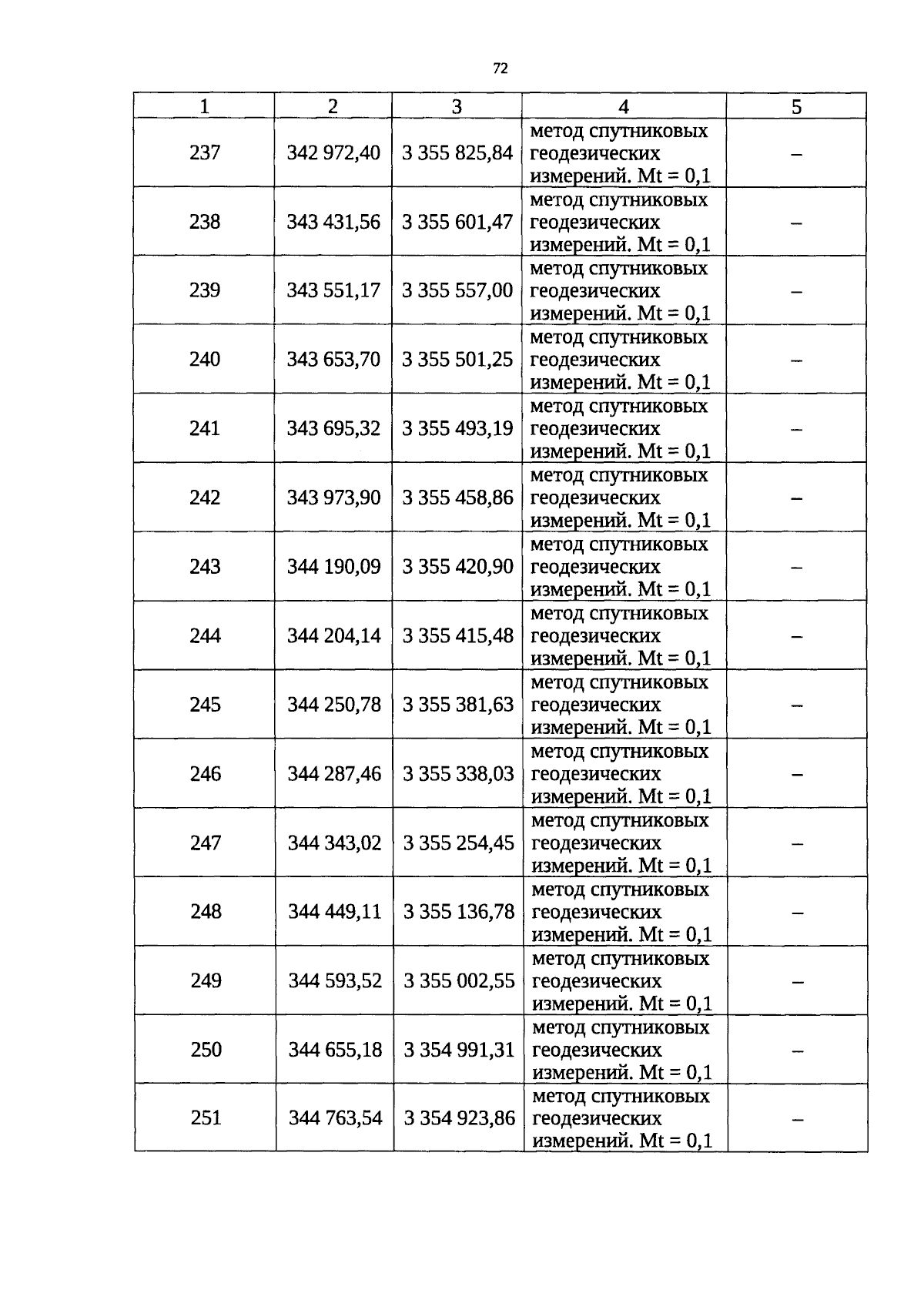
Постановление Правительства Оренбургской области от 24.11.2025 № 1351-пп
"Об утверждении границ охранных зон газораспределительных сетей и наложении ограничений на входящие в них земельные участки, расположенные на территории муниципального образования Домбаровский муниципальный район Оренбургской области"
Номер опубликования: 5600202511280016
Дата опубликования: 28.11.2025
Страница №72 из 207:
Увеличить