Официальное опубликование правовых актов
ОФИЦИАЛЬНОЕ ОПУБЛИКОВАНИЕ
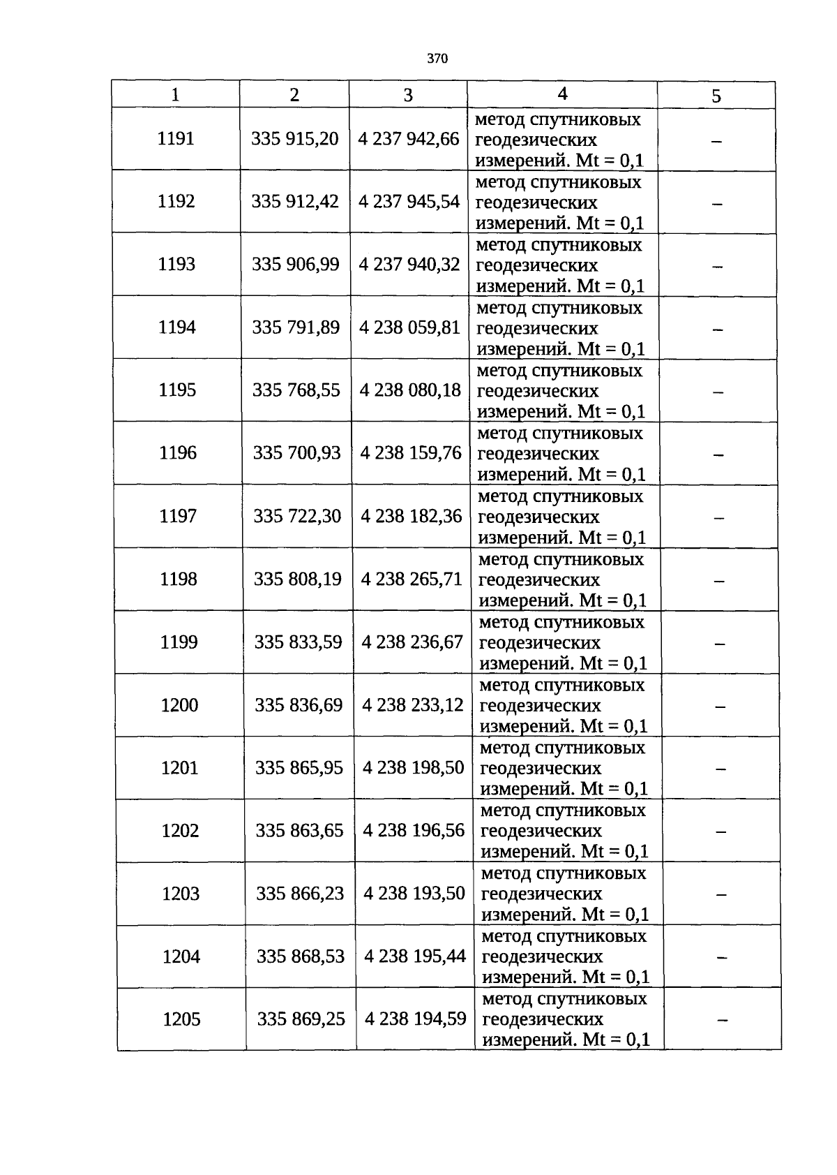
Постановление Правительства Оренбургской области от 24.11.2025 № 1348-пп
"Об утверждении границ охранных зон газораспределительных сетей и наложении ограничений на входящие в них земельные участки, расположенные на территориях муниципальных образований городской округ ЗАТО Комаровский Оренбургской области, Ясненский муниципальный округ Оренбургской области"
Номер опубликования: 5600202511280008
Дата опубликования: 28.11.2025
Страница №370 из 438:
Увеличить