Официальное опубликование правовых актов
ОФИЦИАЛЬНОЕ ОПУБЛИКОВАНИЕ
Постановление Правительства Оренбургской области от 30.10.2025 № 1224-пп
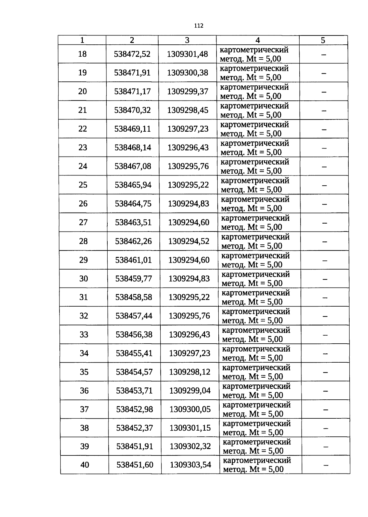
"Об утверждении границ охранных зон газораспределительных сетей и наложении ограничений на входящие в них земельные участки, расположенные на территориях муниципальных образований городской округ город Бугуруслан Оренбургской области, Бугурусланский муниципальный район Оренбургской области, Пономаревский муниципальный район Оренбургской области, Грачевский муниципальный район Оренбургской области, Илекский муниципальный район Оренбургской области, Бузулукский муниципальный район Оренбургской области"
Номер опубликования: 5600202511010017
Дата опубликования: 01.11.2025
Страница №112 из 123:
Увеличить