Официальное опубликование правовых актов
ОФИЦИАЛЬНОЕ ОПУБЛИКОВАНИЕ
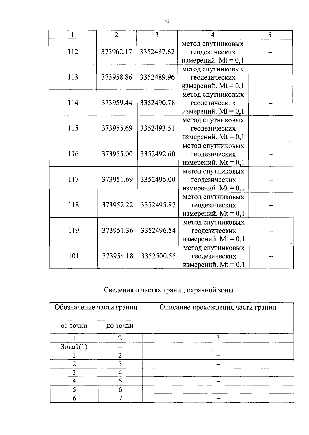
Постановление Правительства Оренбургской области от 07.07.2025 № 648-пп
"Об утверждении границ охранных зон газораспределительных сетей и наложении ограничений на входящие в них земельные участки, расположенные на территории муниципального образования городской округ город Орск Оренбургской области"
Номер опубликования: 5600202507100011
Дата опубликования: 10.07.2025
Страница №43 из 46:
Увеличить