Официальное опубликование правовых актов
ОФИЦИАЛЬНОЕ ОПУБЛИКОВАНИЕ
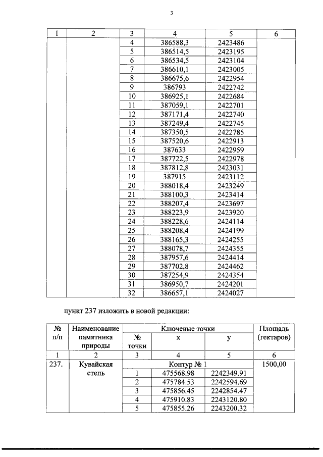
Постановление Правительства Оренбургской области от 24.02.2016 № 124-п
"О внесении изменений в постановление Правительства Оренбургской области от 25.02.2015 № 121-п и признании утратившим силу постановления Правительства Оренбургской области от 08.07.2013 № 579-п"
Номер опубликования: 5600201603010004
Дата опубликования: 01.03.2016
Страница №3 из 8:
Увеличить