Официальное опубликование правовых актов
ОФИЦИАЛЬНОЕ ОПУБЛИКОВАНИЕ
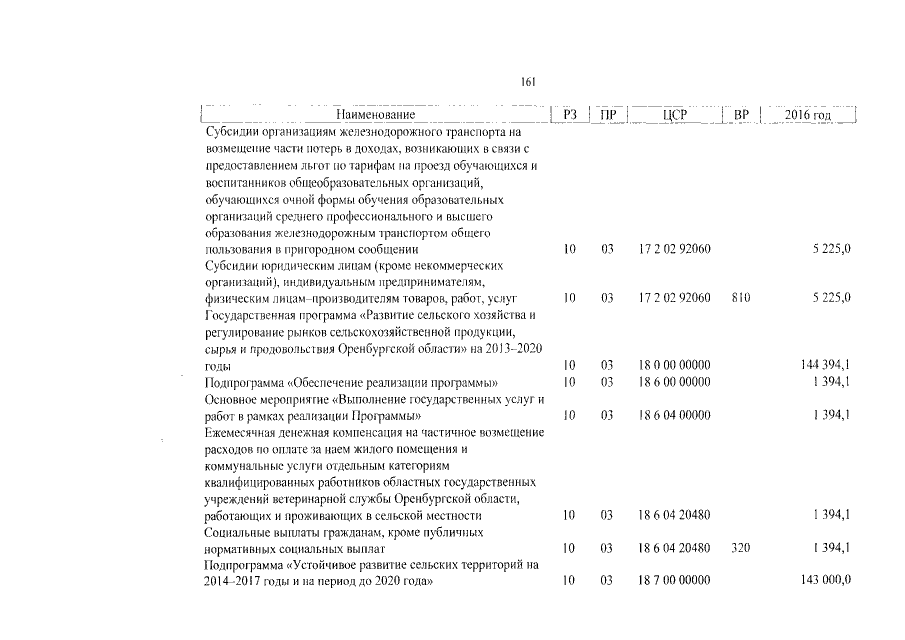
Закон Оренбургской области от 24.02.2016 № 3718/1030-V-ОЗ
"О внесении изменений в Закон Оренбургской области "Об областном бюджете на 2016 год"
Номер опубликования: 5600201602250007
Дата опубликования: 25.02.2016
Страница №402 из 627:
Увеличить