Официальное опубликование правовых актов
ОФИЦИАЛЬНОЕ ОПУБЛИКОВАНИЕ
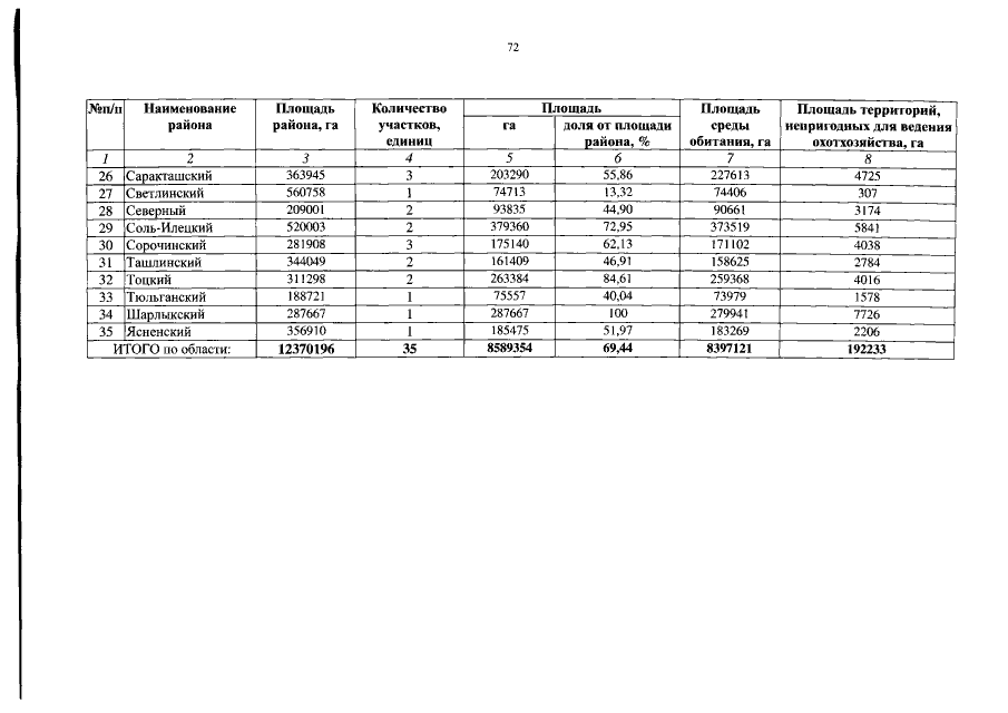
Указ Губернатора Оренбургской области от 18.01.2016 № 8-ук
"Об утверждении Схемы размещения, использования и охраны охотничьих угодий на территории Оренбургской области"
Номер опубликования: 5600201601220009
Дата опубликования: 22.01.2016
Страница №72 из 885:
Увеличить