Официальное опубликование правовых актов
ОФИЦИАЛЬНОЕ ОПУБЛИКОВАНИЕ
Постановление Правительства Оренбургской области от 14.12.2015 № 961-п
"О внесении изменения в постановление Правительства Оренбургской области от 20 июня 2014 года № 404-п"
Номер опубликования: 5600201512170006
Дата опубликования: 17.12.2015
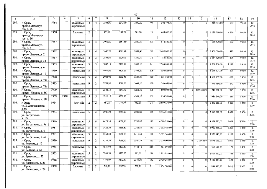
Страница №47 из 93:
Увеличить