Официальное опубликование правовых актов
ОФИЦИАЛЬНОЕ ОПУБЛИКОВАНИЕ
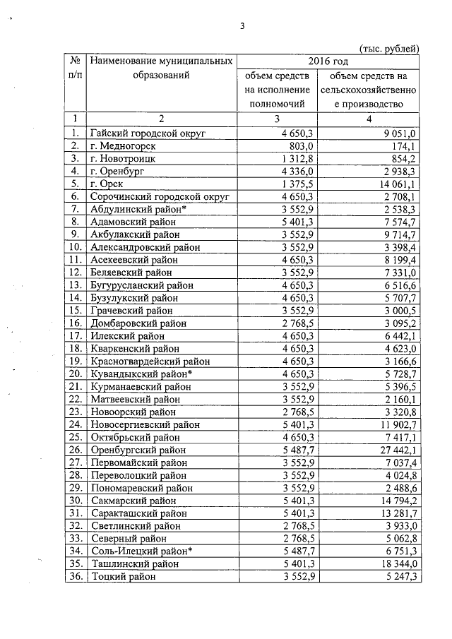
Закон Оренбургской области от 22.10.2015 № 3375/946-V-ОЗ
"О внесении изменений в Закон Оренбургской области "Об областном бюджете на 2015 год и на плановый период 2016 и 2017 годов"
Номер опубликования: 5600201510270005
Дата опубликования: 27.10.2015
Страница №761 из 803:
Увеличить