Официальное опубликование правовых актов
ОФИЦИАЛЬНОЕ ОПУБЛИКОВАНИЕ
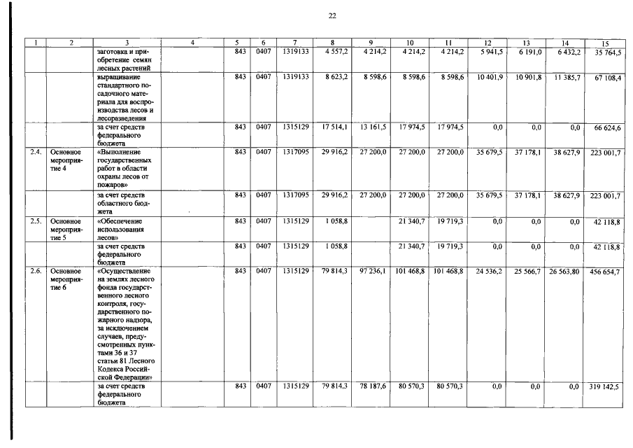
Постановление Правительства Оренбургской области от 08.10.2015 № 788-пп
"О внесении изменений в постановление Правительства Оренбургской области от 30 августа 2013 года № 732-пп"
Номер опубликования: 5600201510140008
Дата опубликования: 14.10.2015
Страница №22 из 41:
Увеличить