Официальное опубликование правовых актов
ОФИЦИАЛЬНОЕ ОПУБЛИКОВАНИЕ
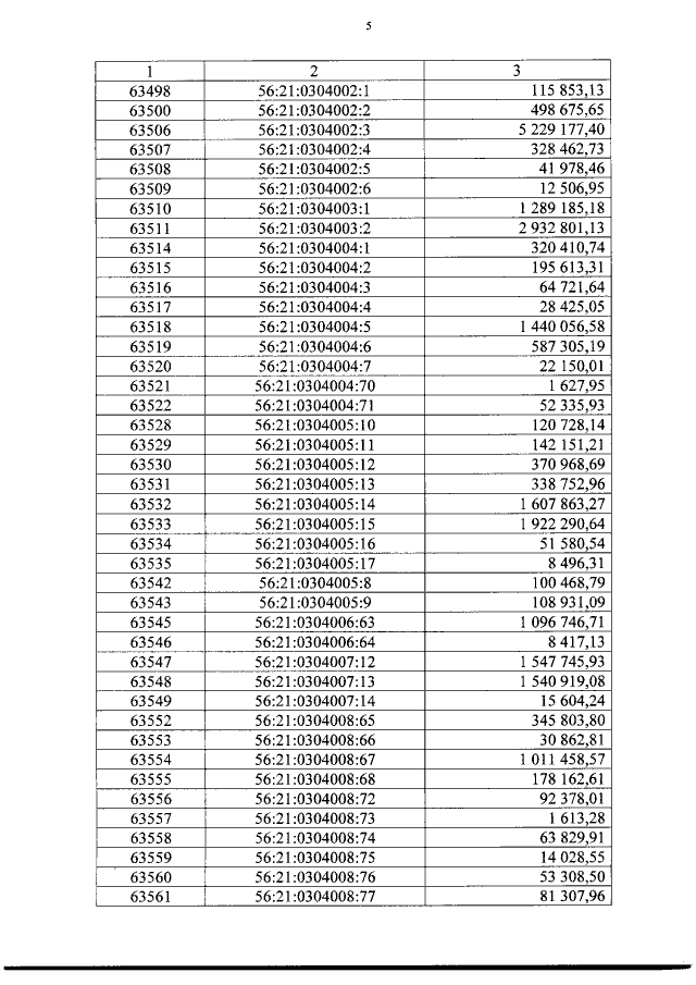
Постановление Правительства Оренбургской области от 13.08.2015 № 600-п
"О внесении изменений в постановление Правительства Оренбургской области от 13.10.2011 № 1003-п"
Номер опубликования: 5600201508190002
Дата опубликования: 19.08.2015
Страница №5 из 7:
Увеличить