Официальное опубликование правовых актов
ОФИЦИАЛЬНОЕ ОПУБЛИКОВАНИЕ
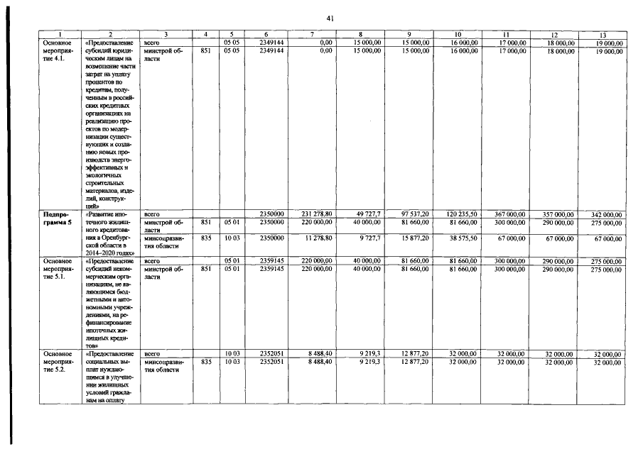
Постановление Правительства Оренбургской области от 21.04.2015 № 251-пп
"О внесении изменений в постановление Правительства Оренбургской области от 30.08.2013 № 737-пп"
Номер опубликования: 5600201504290023
Дата опубликования: 29.04.2015
Страница №41 из 48:
Увеличить