Официальное опубликование правовых актов
ОФИЦИАЛЬНОЕ ОПУБЛИКОВАНИЕ
Постановление Правительства Оренбургской области от 30.03.2015 № 211-пп
"О внесении изменений в постановление Правительства Оренбургской области от 29.11.2013 № 1054-пп"
Номер опубликования: 5600201504020022
Дата опубликования: 02.04.2015
Страница №11 из 16:
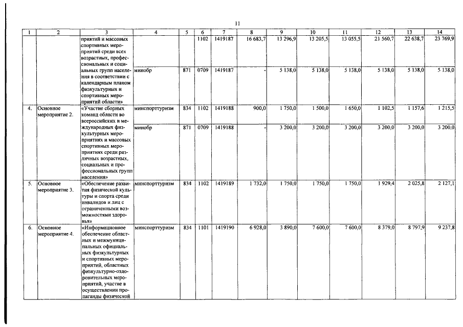
Увеличить