Официальное опубликование правовых актов
ОФИЦИАЛЬНОЕ ОПУБЛИКОВАНИЕ
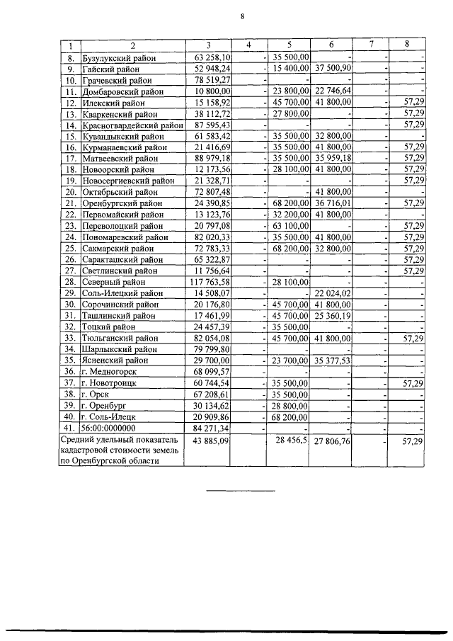
Постановление Правительства Оренбургской области от 02.02.2015 № 31-п
"Об утверждении нормативной цены земли на 2015 год"
Номер опубликования: 5600201502050023
Дата опубликования: 05.02.2015
Страница №8 из 17:
Увеличить