Официальное опубликование правовых актов
ОФИЦИАЛЬНОЕ ОПУБЛИКОВАНИЕ
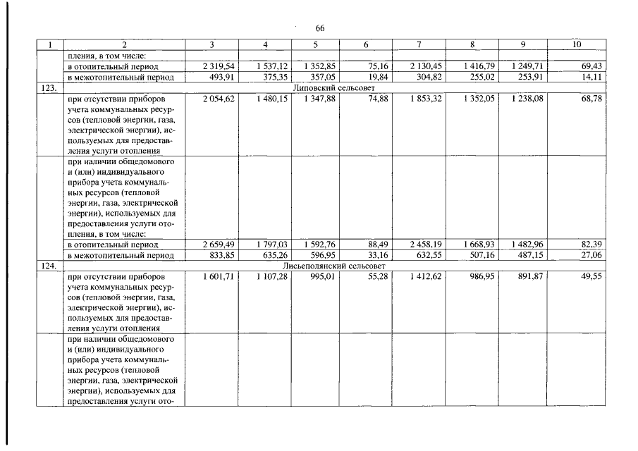
Постановление Правительства Оренбургской области от 23.01.2015 № 12-п
"О региональных стандартах, применяемых для расчета субсидий и ежемесячных денежных компенсаций на оплату жилого помещения и коммунальных услуг"
Номер опубликования: 5600201501280003
Дата опубликования: 28.01.2015
Страница №66 из 1408:
Увеличить