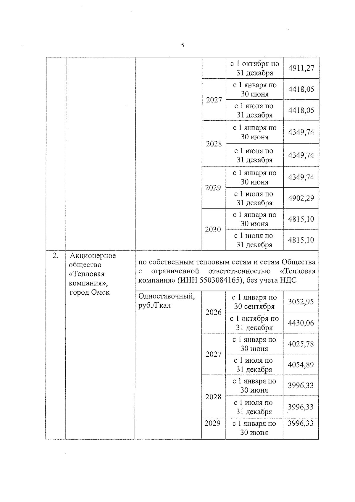
Приказ Региональной энергетической комиссии Омской области от 20.12.2025 № 473/94
"Об установлении тарифов на тепловую энергию, поставляемую потребителям Акционерного общества "Тепловая компания", на 2026-2030 годы"
(Зарегистрирован 22.12.2025 № 6869)
"Об установлении тарифов на тепловую энергию, поставляемую потребителям Акционерного общества "Тепловая компания", на 2026-2030 годы"
(Зарегистрирован 22.12.2025 № 6869)
Номер опубликования: 5501202512220046
Дата опубликования:
22.12.2025
