Официальное опубликование правовых актов
ОФИЦИАЛЬНОЕ ОПУБЛИКОВАНИЕ
Приказ Региональной энергетической комиссии Омской области от 17.12.2025 № 326/91
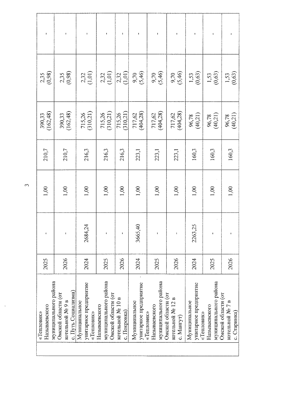
"О корректировке на 2026 год тарифов на тепловую энергию, поставляемую потребителям Муниципального унитарного предприятия "Тепловик" Называевского муниципального района Омской области, установленных на долгосрочный период регулирования"
(Зарегистрирован 19.12.2025 № 6782)
Номер опубликования: 5501202512190035
Дата опубликования: 19.12.2025
Страница №3 из 11:
Увеличить