Официальное опубликование правовых актов
ОФИЦИАЛЬНОЕ ОПУБЛИКОВАНИЕ
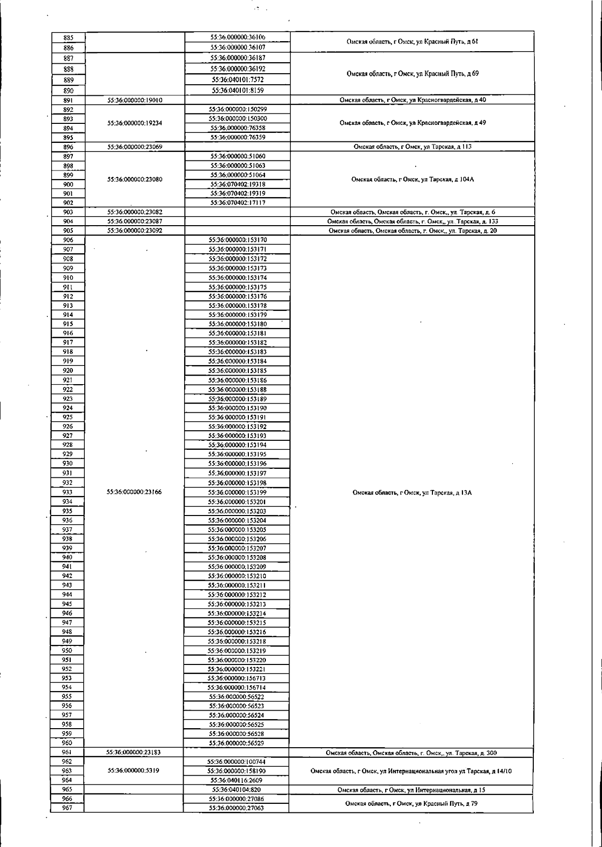
Приказ Министерства имущественных отношений Омской области от 28.11.2025 № 205-п
"Об определении перечня объектов недвижимого имущества, в отношении которых налоговая база определяется как кадастровая стоимость, на 2026 год"
(Зарегистрирован 28.11.2025 № 6498)
Номер опубликования: 5501202511290001
Дата опубликования: 29.11.2025
Страница №13 из 196:
Увеличить