Официальное опубликование правовых актов
ОФИЦИАЛЬНОЕ ОПУБЛИКОВАНИЕ
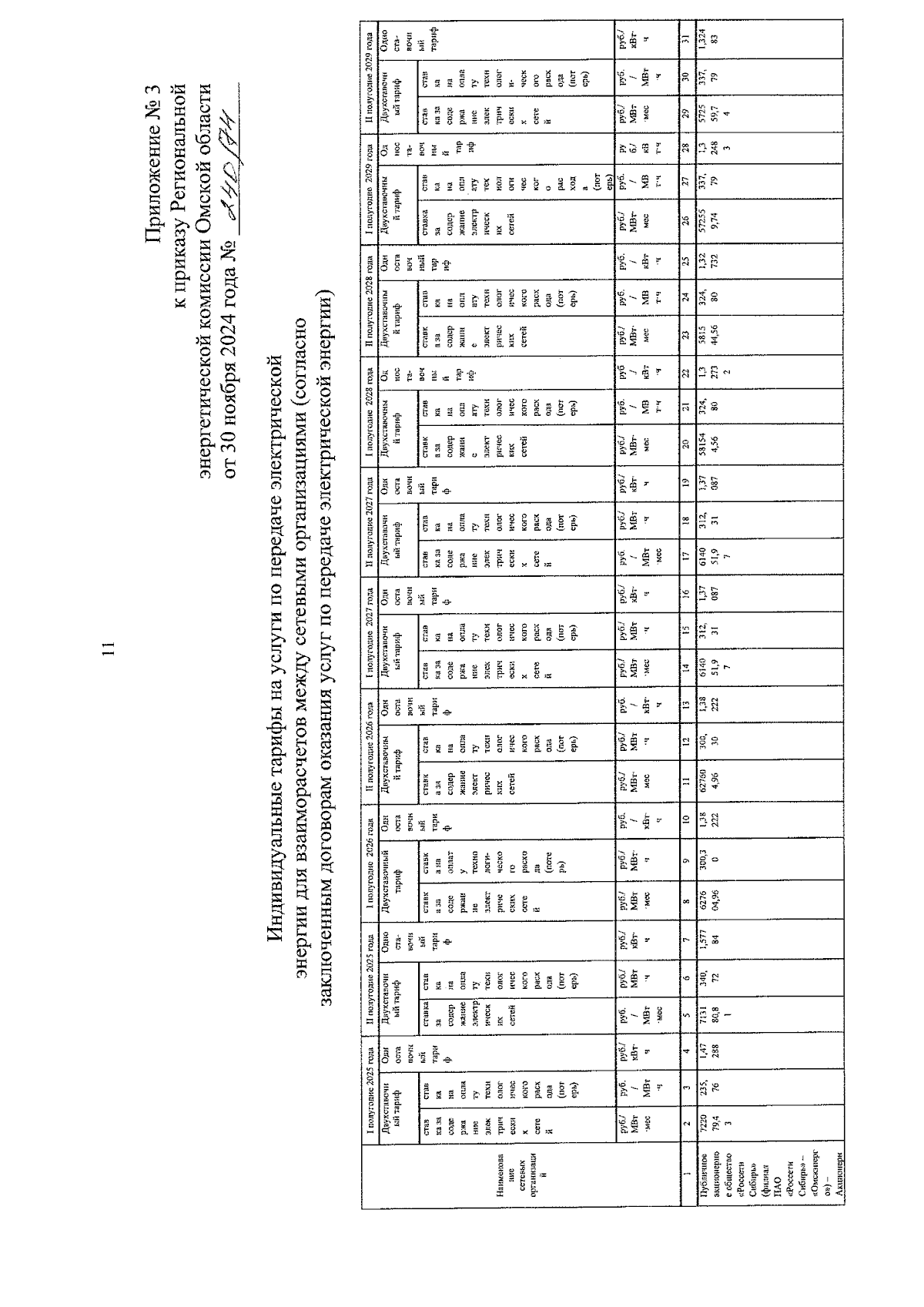
Приказ Региональной энергетической комиссии Омской области от 30.11.2024 № 240/74
"Об утверждении необходимой валовой выручки, долгосрочных параметров и индивидуальных тарифов на услуги по передаче электрической энергии для территориальных сетевых организаций в Омской области"
(Зарегистрирован 04.12.2024 № 4243)
Номер опубликования: 5501202412040001
Дата опубликования: 04.12.2024
Страница №11 из 15:
Увеличить