Официальное опубликование правовых актов
ОФИЦИАЛЬНОЕ ОПУБЛИКОВАНИЕ
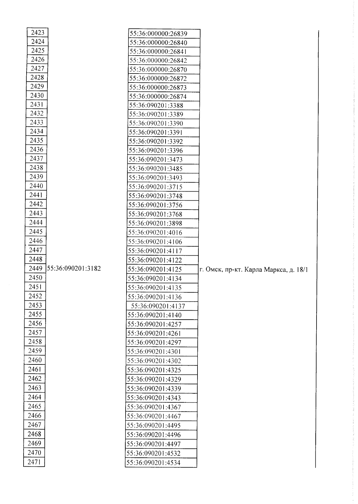
Приказ Министерства имущественных отношений Омской области от 29.11.2024 № 253-п
"Об определении перечня объектов недвижимого имущества, в отношении которых налоговая база определяется как кадастровая стоимость, на 2025 год"
(Зарегистрирован 29.11.2024 № 4214)
Номер опубликования: 5501202411290001
Дата опубликования: 29.11.2024
Страница №59 из 132:
Увеличить