Официальное опубликование правовых актов
ОФИЦИАЛЬНОЕ ОПУБЛИКОВАНИЕ
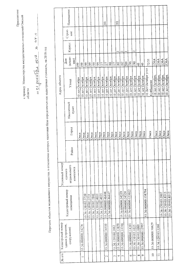
Приказ Министерства имущественных отношений Омской области от 01.12.2017 № 47-п
"Об определении перечня объектов недвижимого имущества, в отношении которых налоговая база определяется как кадастровая стоимость"
Номер опубликования: 5501201712040002
Дата опубликования: 04.12.2017
Страница №3 из 149:
Увеличить