Официальное опубликование правовых актов
ОФИЦИАЛЬНОЕ ОПУБЛИКОВАНИЕ
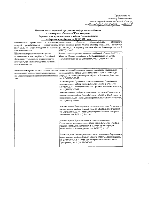
Приказ Региональной энергетической комиссии Омской области от 12.09.2017 № 136/50
"Об утверждении инвестиционной программы Акционерного общества "Жилкомсервис" Горьковского муниципального района Омской области в сфере теплоснабжения на 2018 - 2022 годы"
Номер опубликования: 5501201709140012
Дата опубликования: 14.09.2017
Страница №2 из 6:
Увеличить