Официальное опубликование правовых актов
ОФИЦИАЛЬНОЕ ОПУБЛИКОВАНИЕ
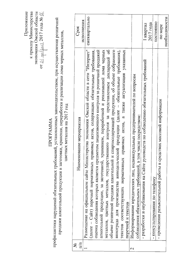
Приказ Министерства экономики Омской области от 21.02.2017 № 12
"Об утверждении Программы профилактики нарушений обязательных требований, установленных законодательством, при осуществлении розничной продажи алкогольной продукции и заготовки, хранения, переработки и реализации лома черных металлов, цветных металлов на 2017 год"
Номер опубликования: 5501201702210004
Дата опубликования: 21.02.2017
Страница №2 из 3:
Увеличить