Официальное опубликование правовых актов
ОФИЦИАЛЬНОЕ ОПУБЛИКОВАНИЕ
Приказ Министерства экономики Омской области от 10.01.2017 № 1
"Об утверждении административного регламента предоставления государственной услуги по предоставлению субсидий субъектам малого и среднего предпринимательства на финансовое обеспечение (возмещение) части затрат, связанных с оплатой услуг и (или) работ по выполнению обязательных требований законодательства, являющихся необходимыми для поставки товаров, выполнения работ, оказания услуг стратегическим предприятиям и стратегическим акционерным обществам, в том числе услуг и (или) работ по регистрации, сертификации или другим формам подтверждения соответствия"
Номер опубликования: 5501201701100005
Дата опубликования: 10.01.2017
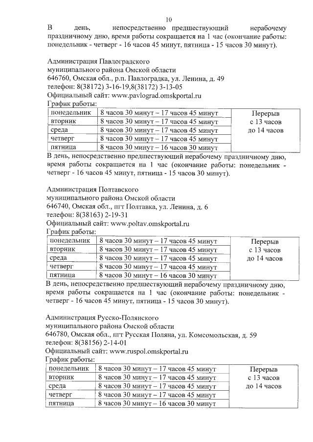
Страница №34 из 39:
Увеличить