Официальное опубликование правовых актов
ОФИЦИАЛЬНОЕ ОПУБЛИКОВАНИЕ
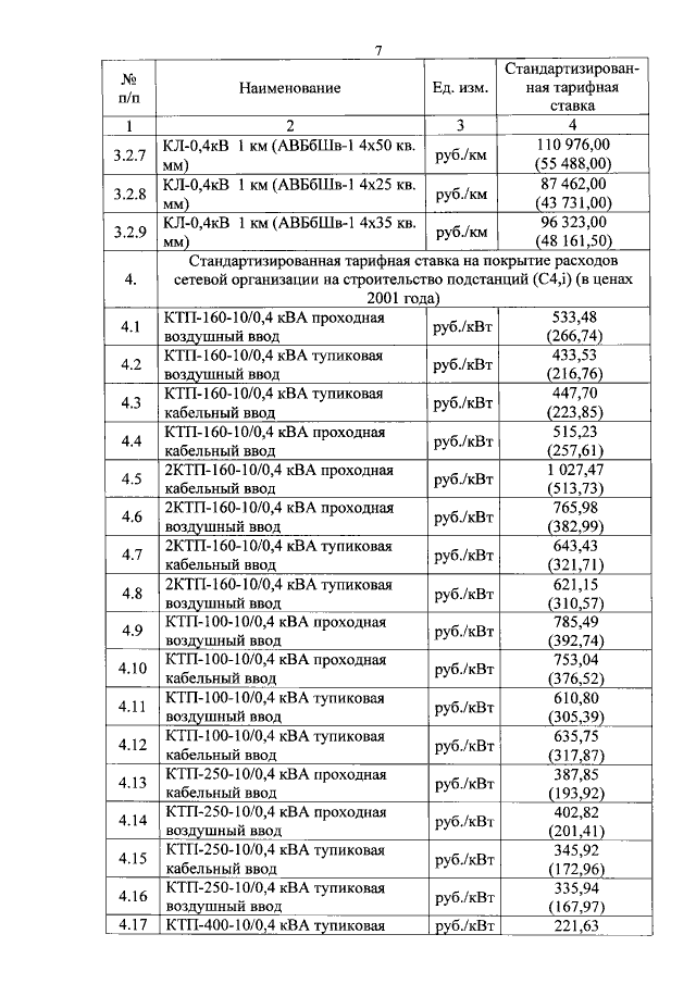
Приказ Региональной энергетической комиссии Омской области от 27.12.2016 № 647/74
"Об установлении ставок платы за технологическое присоединение к электрическим сетям Производственного объединения "Полет" - филиала Федерального государственного унитарного предприятия "Государственный космический научно-производственный центр имени М.В. Хруничева" на 2017 год"
Номер опубликования: 5501201612300013
Дата опубликования: 30.12.2016
Страница №7 из 16:
Увеличить