Официальное опубликование правовых актов
ОФИЦИАЛЬНОЕ ОПУБЛИКОВАНИЕ
Приказ Региональной энергетической комиссии Омской области от 13.09.2016 № 27-П
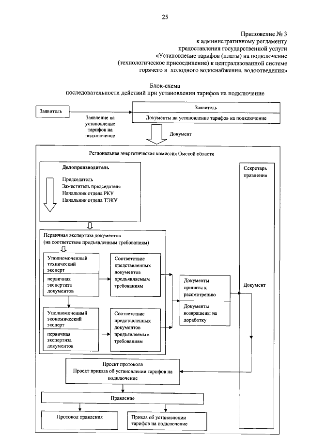
"Об утверждении административного регламента предоставления государственной услуги "Установление тарифов (платы) на подключение (технологическое присоединение) к централизованной системе горячего и холодного водоснабжения, водоотведения"
Номер опубликования: 5501201609150001
Дата опубликования: 15.09.2016
Страница №25 из 26:
Увеличить