Официальное опубликование правовых актов
ОФИЦИАЛЬНОЕ ОПУБЛИКОВАНИЕ
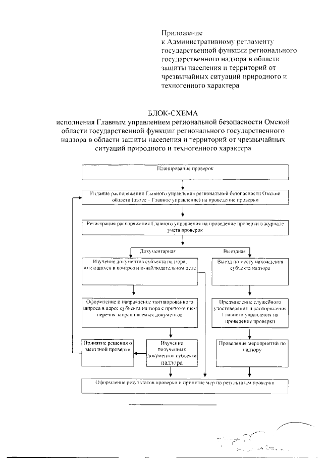
Приказ Главного управления региональной безопасности Омской области от 16.08.2016 № 25-П
"Об утверждении Административного регламента государственной функции регионального государственного надзора в области защиты населения и территорий от чрезвычайных ситуаций природного и техногенного характера"
Номер опубликования: 5501201608170003
Дата опубликования: 17.08.2016
Страница №38 из 38:
Увеличить