Официальное опубликование правовых актов
ОФИЦИАЛЬНОЕ ОПУБЛИКОВАНИЕ
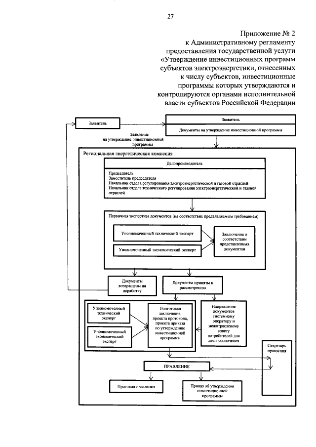
Приказ Региональной энергетической комиссии Омской области от 08.08.2016 № 21-П
"Об утверждении административного регламента предоставления государственной услуги "Утверждение инвестиционных программ субъектов электроэнергетики, отнесенных к числу субъектов, инвестиционные программы которых утверждаются и контролируются органами исполнительной власти субъектов Российской Федерации"
Номер опубликования: 5501201608090014
Дата опубликования: 09.08.2016
Страница №29 из 29:
Увеличить