Приказ Региональной энергетической комиссии Омской области от 08.08.2016 № 22-П
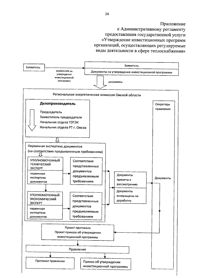
"Об утверждении административного регламента предоставления государственной услуги "Утверждение инвестиционных программ организаций, осуществляющих регулируемые виды деятельности в сфере теплоснабжения"
"Об утверждении административного регламента предоставления государственной услуги "Утверждение инвестиционных программ организаций, осуществляющих регулируемые виды деятельности в сфере теплоснабжения"
Номер опубликования: 5501201608090006
Дата опубликования:
09.08.2016
