Официальное опубликование правовых актов
ОФИЦИАЛЬНОЕ ОПУБЛИКОВАНИЕ
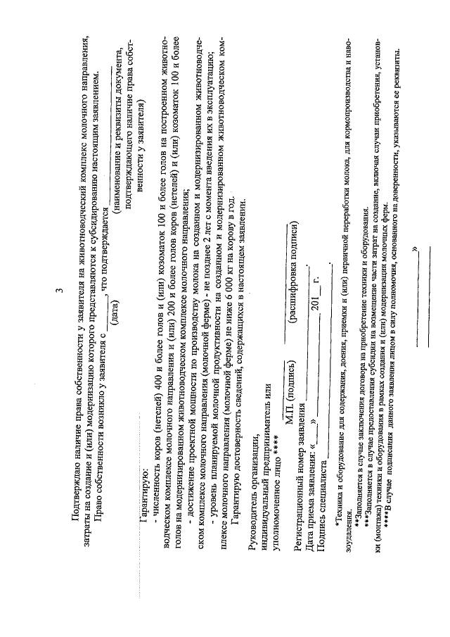
Приказ Министерства сельского хозяйства и продовольствия Омской области от 30.05.2016 № П-16-40
"О внесении изменений в отдельные приказы Министерства сельского хозяйства и продовольствия Омской области"
Номер опубликования: 5501201605300009
Дата опубликования: 30.05.2016
Страница №6 из 15:
Увеличить