Официальное опубликование правовых актов
ОФИЦИАЛЬНОЕ ОПУБЛИКОВАНИЕ
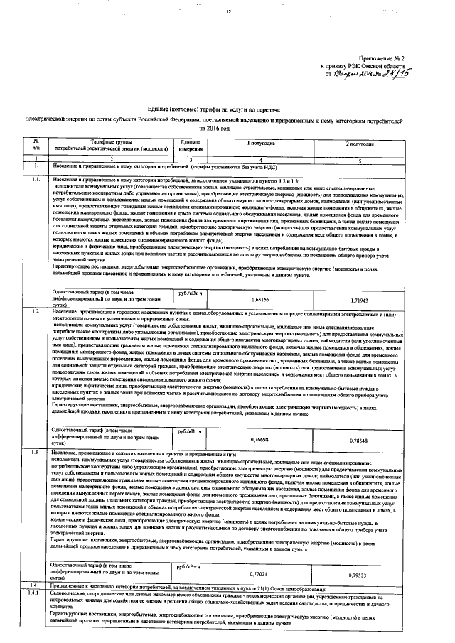
Приказ Региональной энергетической комиссии Омской области от 19.04.2016 № 28/15
"Об установлении единых (котловых) тарифов на услуги по передаче электрической энергии по электрическим сетям Омской области на 2016 год"
Номер опубликования: 5501201604210006
Дата опубликования: 21.04.2016
Страница №12 из 13:
Увеличить