Официальное опубликование правовых актов
ОФИЦИАЛЬНОЕ ОПУБЛИКОВАНИЕ
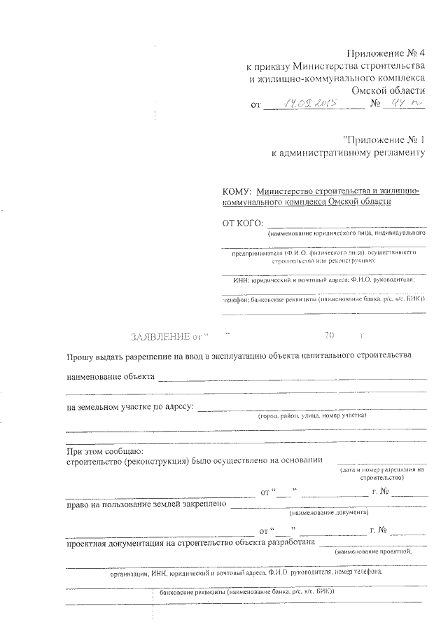
Приказ Министерства строительства и жилищно-коммунального комплекса Омской области от 14.09.2015 № 44-п
"О внесении изменений в отдельные приказы Министерства строительства и жилищно-коммунального комплекса Омской области"
Номер опубликования: 5501201509160001
Дата опубликования: 16.09.2015
Страница №14 из 15:
Увеличить