Официальное опубликование правовых актов
ОФИЦИАЛЬНОЕ ОПУБЛИКОВАНИЕ
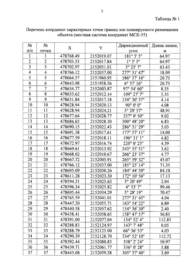
Постановление Правительства Омской области от 11.04.2018 № 92-п
"Об утверждении проекта планировки, проекта межевания территории линейного объекта регионального значения "Реконструкция транспортной развязки "Станция Входная" в Омском муниципальном районе Омской области"
Номер опубликования: 5500201804120001
Дата опубликования: 12.04.2018
Страница №4 из 30:
Увеличить