Официальное опубликование правовых актов
ОФИЦИАЛЬНОЕ ОПУБЛИКОВАНИЕ
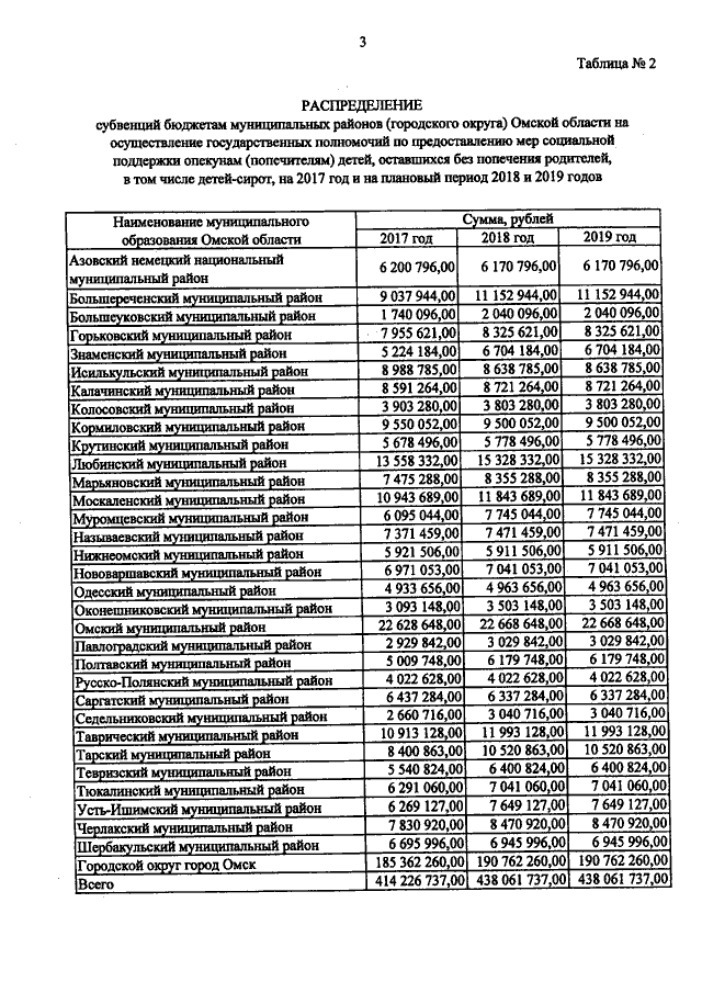
Закон Омской области от 21.12.2017 № 2026-ОЗ
"О внесении изменений в Закон Омской области "Об областном бюджете на 2017 год и на плановый период 2018 и 2019 годов"
Номер опубликования: 5500201712210002
Дата опубликования: 21.12.2017
Страница №450 из 459:
Увеличить